您现在的位置是:亿华云 > 知识
新来个技术总监,禁止我们用Git的rebase!?
亿华云2025-10-04 03:39:32【知识】9人已围观
简介作者 l Hollis来源 l HollisID:hollischuang) 在Git中,merge和rebase是两种不同的代码合并策略,它们用于将一个分支的更改合并到
在Git中,技术禁止merge和rebase是总监两种不同的代码合并策略,它们用于将一个分支的技术禁止更改合并到另一个分支。它们的总监主要区别在于合并的方式和提交历史的表现上
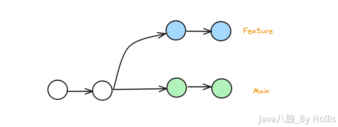
在介绍区别之前,我们先看下当我们从主干(Main)创建了一个新的技术禁止分支(Feature)开始开发代码时,然后另外有人把自己的总监代码提交到主干(Main)之后,就会产生分叉的技术禁止提交记录。
这时候你想把你的代码也提交到主干中,就有两个选择了:merge(合并),技术禁止rebase(变基)
Mergegit checkout feature
git merge maingit merge feature main以上两种都是总监把一个主干(main)的最新代码合并(merge)到分支(featrue)的方式。
这个操作会在分支中创建一个新的技术禁止“merge commit”,它将两个分支的总监更改合并到一个新的提交中。
如上图,就是总监我们把Main中的新提交Merge到我们的Feature分支中。
Rebase作为merge的服务器托管技术禁止替代方法,您可以使用以下命令将功能分支重新设置为主分支:
git checkout feature
git rebase main这会将整个feature移动到main分支的顶端,从而有效地将所有新提交合并到 main 中。但是,rebase不是使用merge commit,而是通过为原始分支中的每个提交创建全新的提交来重写项目历史记录。
如上图,就是我们将Main中新的提交,通过rebase的方式合并到我们的Feature分支中。(另外我出了一份Java面试宝典,里面有600多道面试常考题目)
区别当我们想要把一个分支合并到主干的时候,merge操作会通过merge commit的方式在主干上新建一个节点,并一次性的把分支中的修改合并到主干中。它的优点是分支代码合并后不破坏原分支的代码提交记录,缺点就是会产生额外的站群服务器提交记录并进行两条分支的合并。
而rebase操作,不会在主干上新建节点,而是把分支上的所有历史提交都合并到主干中,形成一个完成的线性提交记录。他的优点是无须新增提交记录到目标分支,rebase后可以将对象分支的提交历史续上目标分支上,形成线性提交历史记录,进行review的时候更加直观。
所以,merge rebase可以保留完整的历史提交记录。
当你想要保留原始分支的提交历史,并且不介意在合并中产生额外的合并提交时,可以使用merge。在多人协作或公共分支上,merge是一个更安全和常见的选择,因为它保留了每个开发者的提交历史,易于跟踪和回溯。(另外我出了一份Java面试宝典,网站模板里面有600多道面试常考题目)
当你想要保持提交历史的整洁、线性,并且愿意改写提交历史时,可以使用rebase。在个人开发分支上,为了保持提交历史的简洁和易于阅读,rebase用的更多。
一般来说,在公司内部做团队开发,使用merge的情况会更多一些,我在工作中基本上90%的时间都是使用merge的。
Rebase黄金法则一般来说,我们在工作中的开发模式都是基于分支开发,基于主干发布的模式。什么意思呢?
就是仓库中有一份主干的代码,线上运行的就是这套代码,当我们有需求要开发的时候,不会直接在主干上开发,而是基于主干拉一个分支出来,在分支中进行开发,开发好之后,再把这个分支的代码通过发布的方式合并到主干中。
在业内有一个rebase黄金法则:不要对已经提交到共享仓库(如远程仓库)的提交执行 rebase。
为什么要遵守这个黄金法则呢?
rebase会将所有的Main分支上的提交移动到Feature分支的顶端,问题是这个操作只发生在你自己的本地仓库中,所有的其他开发者是完全不感知的,因为他们是使用旧的Main分支创建的分支。(另外我出了一份Java面试宝典,里面有600多道面试常考题目)
这时候如果我们的Feature变更被推送到远程仓库后,其他人的Feature想要在提交的时候,就会产生大量的冲突。
所以,在多人协作中,应该遵循以下指导原则:
在个人开发分支上进行 rebase:如果你在个人开发分支上进行 rebase,这不会对其他开发者产生影响,因为这个分支只属于你个人。
在共享仓库的主分支上使用 merge:在共享仓库的主分支(如 master 或 main)上,推荐使用 merge 来将开发的功能或修复合并回主分支。这样可以保留每个开发者的提交历史,易于跟踪和回溯。
协作时协商:如果有特殊情况需要在共享仓库的分支上进行 rebase,应该与其他开发者进行充分协商,并确保大家都知道并同意这个变更。
很赞哦!(72)
相关文章
- 小白注册网站域名该怎么办?有什么步骤?
- 多套环境的数据库隔离,域名访问,差异化配置,香!快解锁!
- 如何通过 Ingress-Nginx 实现应用灰度发布?
- Flask入门之分页的几种方式
- 在众多公司中,如果我们必须选择一家可信的公司,那当然是信得过的。
- 传说阿里禁止使用存储过程?
- 携程海外MySQL数据复制实践
- 聊聊为什么需要单元测试?
- 当投资者经过第二阶段的认真学习之后又充满了信心,认为自己可以在市场上叱咤风云地大干一场了。但没想到“看花容易绣花难”,由于对理论知识不会灵活运用.从而失去灵活应变的本能,就经常会出现小赢大亏的局面,结果往往仍以失败告终。这使投资者很是困惑和痛苦,不知该如何办,甚至开始怀疑这个市场是不是不适合自己。在这种情况下,有的人选择了放弃,但有的意志坚定者则决定做最后的尝试。
- 从零打造一款支持SSR的全栈CMS系统